基本
对立事件:
互斥事件:
德摩根律:
事件的差的公式:
容斥定理:
事件A,B独立等价于:
三个事件ABC独立等价于:其中任何两个事件独立,且
省略古典概型和几何概型
条件概率:
条件概率的公式们:
一维随机变量
分布函数 且满足单调递增、有界、右连续
注意分布函数是 .
离散变量常用分布
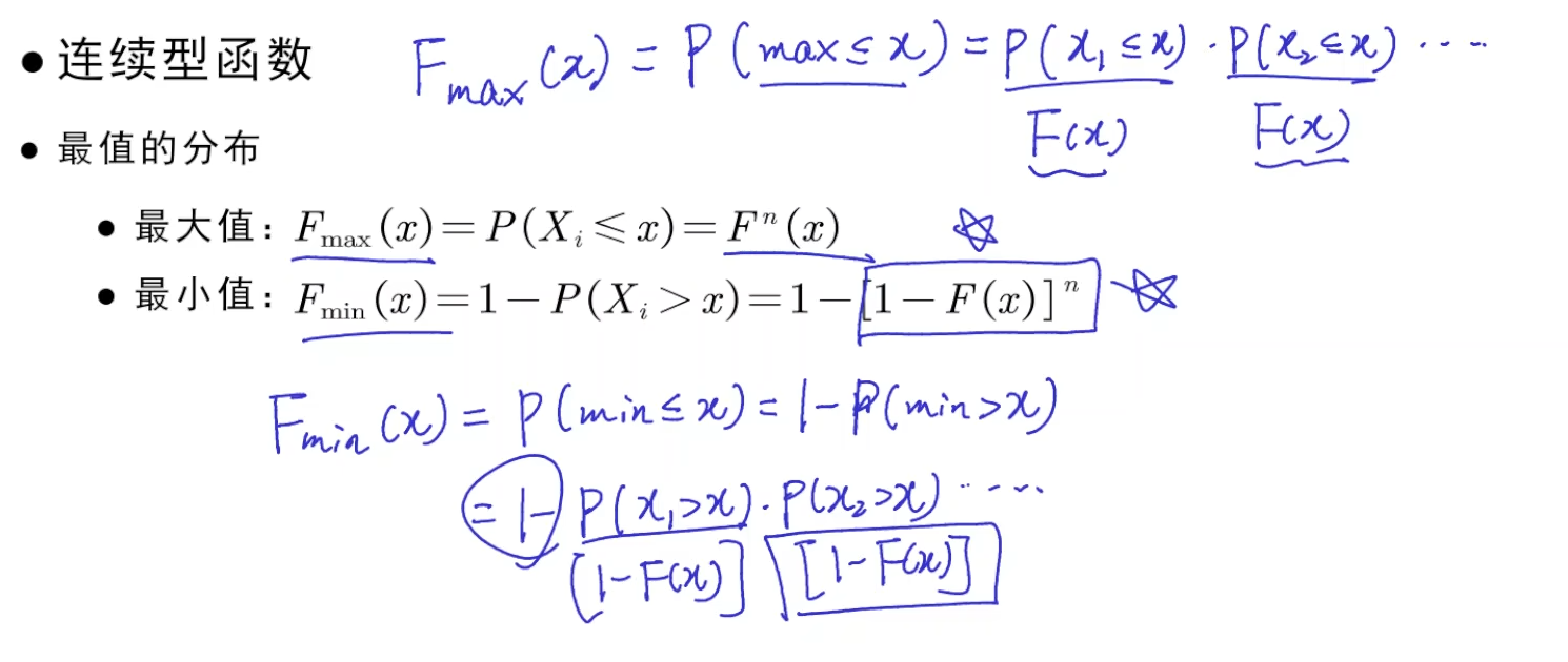
二项分布:,其中
泊松分布:

连续随机变量
概率密度函数:
正则性:
常用分布
均匀分布:在上取值是等概率的
指数分布:常用于寿命分布
-
- 无记忆性:。也就是说,从s岁开始再活t年的概率,等于从0岁开始活t年的概率.
正态分布:
- , 均值,标准差.
- 称为标准正态分布,分布函数记为.
- 正态变量标准化:若则
随机变量函数的分布
离散的直接代入算。
连续的见下。
一般是先求分布函数,然后求概率密度函数.


二维随机变量
联合分布函数:
联合分布函数充要:单调、有界、右连续.
概率密度函数:
求概率:
边缘分布
条件分布:联合除以边缘
卷积公式:的密度函数为
注意,这里的公式需要变量间是独立同分布.

随机变量的数字特征
一维分布的数字特征
期望
离散:连续
性质:
也称为 阶矩
方差
性质
注:方差的算术平方根称为 标准差 ,标准差与期望的比称为 变异系数 C
切比雪夫不等式
常用分布期望和方差

二维分布特征数
方差
Misplaced && 离散: E[g(X,Y)]=\sum \sum g(x_{i},y_{i})p_{ij} \\ & 连续: E[g(X,Y)]=\int dy\int g(x,y)f(x,y)dx \end{align}$$ 性质: - 无论 X, Y 是否独立,都有 $E(aX+bY)=aE(X)+bE(Y)$ - 如何 XY 相互独立则有 $E(XY)=E(X)E(Y),\quad Var(X\pm Y)=Var(X)+Var(Y)$ - 如果独立变量$X\sim N(\mu_{1},\sigma^{2}_{1}),Y\sim N(\mu_{2},\sigma_{2}^{2}),\quad 则X\pm Y\sim N(\mu_{1}\pm \mu_{2},\sigma_{1}^{2}+\sigma_{2}^{2})$ #### 协方差 $Cov(X,Y)=E[X-E(X)][Y-E(Y)]=E(XY)-E(X)E(Y)$ 相关系数 $$\rho_{XY}= \frac{Cov(X,Y)}{\sigma_{X}\sigma_{Y}}$$ - Cov > 0 则 X,Y 正相关 - Cov = 0 则 X, Y 不相关 -> 不一定独立,但是独立一定不相关 - Cov < 0 则 X, Y 负相关 性质 - $Cov(X,c)=Var(0)$ - $Cov(X,X)=Var(X)$ - $Cov(X,Y)=Cov(Y,X)$ - 线性性:$Cov(aX,bY)=abCov(X,Y)\quad Cov(X+Y,Z)=Cov(X,Z)+Cov(Y,Z)$ - 不独立变量之和的方差、协方差,与整式乘法相似: - $Var(X\pm Y)=Var(X)\pm 2Cov(X,Y)+Var(Y)$ - $Cov(aX+bY,cX+dY)=acVar(X)+(ad+bc)Cov(X,Y)+bdVar(Y)$ ## 大数定律 在一定条件下,随机变量的均值$\overline{X}$趋近于期望的均值$\overline{E(X)}$ $$\forall \epsilon>0,\quad\lim_{ n \to \infty }P\left( \left| \frac{1}{n}\sum X_{i}-\frac{1}{n}\sum E(X_{i}) \right| < \epsilon \right) = 1$$ - 伯努利大数定律:服从二项分布 - 切比雪夫大数定律:方差存在上界 - 辛钦大数定律:独立同分布 ## 中心极限定理 独立同分布变量的和,近似服从于正态分布,期望和方差不变 $n较大时,近似有\sum X\sim N(n\mu,n\sigma^{2})或\overline{X}\sim N\left( \mu, \frac{\sigma^{2}}{n} \right)$ $由上面的可知,n较大时二项分布X\sim B(n,p)可以近似为X\sim N(np,npq)$ ## 统计量及其分布 统计量:不含位置参数的函数称为统计量 样本均值:$\overline{x}=\frac{1}{n}\sum_{i=1}^{n}x_{i}$ 样本方差:$s ^{2}=\frac{1}{n-1}\sum_{i=1}^{n}(x-\overline{x})^{2}$ 性质 $$E(\overline{x})=\mu,\quad Var(\overline{x})=\frac{\sigma^{2}}{n},\quad E(s^{2})=\sigma^{2}$$ ### 卡方分布 若$X_{i}\sim N(0,1)$相互独立,则$Y=X_{1}^{2}+X_{2}^{2}+X_{3}^{2}+\dots+X_{n}^{2}$服从自由度为$n$的卡方分布$\chi^{2}(n)$ 性质: - 可加性 $Y_{1}\sim \chi^{2}(m),\quad Y_{2}\sim \chi^{2}(n),\quad则Y_{1}+Y_{2}\sim \chi^{2}(m+n)$ - 若 $Y\sim \chi^{2}(n),\quad则E(Y)=n,Var(Y)=2n$ - 特别地,若$X\sim N(0,1),则X^{2}\sim \chi^{2}(1)$ ### t 分布 $$\begin{align} & 若X\sim N(0,1), Y\sim \chi^{2}(n)且相互独立, \\ & \quad则Z=\frac{X}{\sqrt{ \frac{Y}{n}}} 服从自由度为n的t分布t(n) \\ \end{align}$$ 当 $n>30$ 时,t分布可以近似认为是标准正态分布 ### F 分布 $$\begin{align} & 若 X \sim \chi^{2}(m),\quad Y\sim \chi^{2}(n)且相互独立 \\ & Z= \frac{\frac{X}{m}}{\frac{Y}{n}}服从自由度为m,n的F分布F(m,n) \end{align}$$ ### 正态总体的抽样分布 $$\begin{align} & 若 X_{i}\sim N(\mu,\sigma^{2})且相互独立, 则样本均值\overline{x},s^{2} 相互独立,且 \\ & \frac{\overline{x}-\mu}{\frac{\sigma}{\sqrt{ n }}}\sim N(0,1)\qquad \frac{\overline{x}-\mu}{\frac{s}{\sqrt{ n }}}\sim t(n-1)\qquad \frac{(n-1)s^{2}}{\sigma^{2}}\sim \chi^{2}(n-1) \end{align}$$ *我的天啊,太长了。* *第一个是标准化,分子标准化期望,分母标准化方差.* *用s替换sigma就服从t(n-1)分布* **唉。** ## 参数估计 ### 点估计 矩估计。用样本矩代替总体矩,尽量选择阶数低的。 - 如果只有一个未知量,令$E(X)=\overline{x}$ - 如果有两个未知量,就再令$Var(X)=s^{2}$ ### 最大似然估计 求使得联合密度函数 $L=\prod f(x_{i}; \theta)$ 最大的参数 1. 写出联合密度函数 2. 求对数 $\ln L=\sum \ln f(x_{i}\cdot \theta)$ 3. 令偏导为0并求解$\frac{\partial L}{\partial \theta}=0$ ### 估计优良性标准 - 无偏性:估计量的期望等于实际值 - 有效性:估计量的方差尽可能小 - 相合性:样本趋于无穷时,估计量趋于实际值 可以证明,样本均值、方差是无偏估计量。 矩估计和最大估计给出的方差不是无偏估计量。 ### 区间估计 区间估计问题:$给定置信度1-\alpha,找一个区间[L,R],使P(L\leq \theta \leq R)\geq 1-\alpha$ 步骤 - 选择统计量 $G$ - 找到区间使得 $P(a\leq G \leq b)\geq 1-\alpha$ - 化简得出答案 ![[Pasted image 20260102203541.png]] ## 假设检验 假设是 $H_{0}$,备择假设是其反面$H_{1}$ 两类错误: - 第一错误(拒真):原假设正确,但落入拒绝域。 - 第二错误(存伪):原假设错误,但没落入拒绝域。 第一类错误也称为显著性水平。